Fledermausschutz im Schatten der Windenergie
Abstracts
Im Zuge des Ausbaus der erneuerbaren Energien in Deutschland wurden in der letzten Dekade zunehmend Konflikte mit dem Artenschutz evident, da gesetzlich geschützte Fledermäuse regelmäßig an Windenergieanlagen (WEA) getötet werden. Oft werden Bau und Betrieb von WEA erst durch Minderungsmaßnahmen, wie z. B. Abschaltzeiten bei hoher Fledermausaktivität, genehmigungsfähig. Wie häufig solche Maßnahmen in Fachgutachten vorgeschlagen und inwieweit diese in der Praxis umgesetzt werden, war Gegenstand einer bundesweiten Expertenumfrage, an der Behördenmitarbeiter, Fachgutachter, Vertreter von Umweltschutzorganisationen, Windkraftvertreter und Wissenschaftler teilnahmen (167 Antworten). Die Antworten der Teilnehmer waren heterogen, wobei sich die Angaben der Windkraftvertreter oft stark von denen der Behörden- und der Gutachtervertreter unterschieden.
Die Mehrheit der Umfrageteilnehmer schätzte, dass der Anteil der Fachgutachten, welche Abschaltzeiten empfehlen, unter 50 % liegt. Auch die Anzahl der Gemehmigungen mit beauflagten Abschaltzeiten scheint relativ niedrig zu sein. Daraus lässt sich ableiten, dass die Zahl der Schlagopfer vermutlich höher ist als erwartet.
Zudem scheint die Umsetzung der Genehmigungsauflagen durch die Behörden nur bedingt kontrolliert zu werden. Die Anzahl von Rechtsstreiten über beauflagte Abschaltzeiten scheint hoch zu sein. Die Mehrheit der Umfrageteilnehmer hielt generelle WEA-Abschaltzeiten mit saisonaler und/oder regionaler Anpassung für sinnvoll.
Bat conservation in the shadow of wind energy – Germany’s experts miss transparency and nationwide standards in approval procedures
Over the past decade, the expansion of energy production from renewable sources has led to increasing conflicts, which are most evident in the relatively high numbers of bats killed at wind turbines (WT). In many cases, operation of a WT is only granted under species-specific mitigation measures, such as WT curtailments to minimize bat collisions. Here, we present a nationwide stakeholder survey about the content and implementation of suggested mitigation schemes for the operation of WT. Stakeholder groups included conservation authorities, consultants, wind energy representatives, NGO and volunteer bat experts, as well as researchers in this field (167 responses). In general, responses were heterogeneous and answers of members of the wind energy sector were often contrasting with those of authorities and consultants.
Most experts estimated that less than 50 % of the reports suggested curtailments. Also, the number of commissioned curtailments seems to be relatively low. Thus, collision risks may not be sufficiently reduced and the number of bats killed at WT may be higher than anticipated. Further, experts criticized the lack of monitoring of implementation of commissioned operating schemes for WT. Additionally, experts confirm a relatively high number of lawsuits about commissioned curtailments. Most respondents favoured a general, nationwide WT curtailment with seasonal and regional restrictions to reduce bat fatality.
- Veröffentlicht am
1 Einleitung
Windenergieanlagen (WEA) stellen weltweit eine der größten anthropogenen Gefährdungsquellen für Fledermäuse dar (Arnettet al. 2016,O’Sheaet al. 2016) (Abb. 1). In Deutschland sind alle vorkommenden Fledermausarten nach § 7 des Bundesnaturschutzgesetzes (BNatSchG) besonders und streng geschützt und genießen nach § 44 BNatSchG artenschutzrechtliche Zugriffsverbote. Das Aufstellen von WEA bedarf immissionsschutzrechtlicher Genehmigungsverfahren, die auch eine artenschutzrechtliche Prüfung in Form von Artenschutzgutachten (hier: Fledermausgutachten) beinhalten. In diesen soll überprüft werden, ob (1) die lokal vorkommenden Fledermäuse durch den Bau und den Standort der WEA in ihrem Lebensraum beeinträchtigt werden und ob sich (2) durch den Betrieb der WEA das Tötungsrisiko von Fledermausindividuen in signifikanter Weise erhöhen könnte (Lukas2016). Wird im Ergebnis solcher Gutachten erwartet, dass Fledermäuse in signifikanter Weise gestört oder getötet werden, müssen spezielle Vermeidungs- oder Minderungsmaßnahmen durchgeführt werden, damit das WEA-Vorhaben genehmigungsfähig wird (Lukas2016).
Häufig werden in Gutachten zwei Maßnahmen für den Betrieb von WEA vorgeschlagen, und zwar (1) pauschale Abschaltzeiten für die WEA, wenn die prognostizierte lokale Aktivität von Fledermäusen es erfordert, und (2) eine betriebsbegleitende Datenerhebung (im Folgenden als Monitoring bezeichnet), um unzureichende Daten zu ergänzen, methodischen Unsicherheiten bei der Datenerhebung zu begegnen und Abschaltzeiten anzupassen („adaptives Management“).
Mit Hilfe der hier vorgestellten bundesweiten Expertenbefragung soll ein quantitativer Überblick darüber erfolgen, wie und in welchem Umfang die gängigen Schutzmaßnahmen in Genehmigungsverfahren gefordert, beauflagt und umgesetzt werden. Hierzu wurden involvierte Gruppen (Behördenvertreter, Fachgutachter, Vertreter der Windenergie u. a.) befragt.
2 Methoden
Die Umfrage wurde im Zeitraum vom 03.05.2016 bis 27.05.2016 über die Online Plattform SurveyGizmo ( https://www.surveygizmo.com/ ) durchgeführt. Der Fragebogen beinhaltete sowohl Fragen mit Mehrfach-Auswahl-Antworten zum Anklicken als auch Textboxen mit der Option für frei formulierte Texte. Der Link zur Umfrage wurde an ungefähr 1000 E-Mail-Adressen versandt, mit der Bitte um Weiterleitung an potenzielle Teilnehmer (Kolleginnen und Kollegen). Unter Einschränkung der uns verfügbaren E-Mail-Adressen konnten wir etwa 500 Behördenvertreter (Umweltämter, Naturschutzbehörden), 300 Fachgutachter und Landschaftsplaner (Fachgutachterbüros, freie Fachgutachter, Planungsbüros; im Folgenden als Gutachter zusammengefasst), 100 Vertreter oder Assoziierte der WEA-Industrie (Interessenverbände, Ingenieurbüros, Rechtsanwälte, Betreiber, im Folgenden als Windkraftvertreter zusammengefasst), 50 Vertreter von Umweltschutzorganisationen und ehrenamtlich Tätige (z. B. NABU, BUND, im Folgenden als NGO & Ehrenamt zusammengefasst) sowie 50 Wissenschaftler universitärer und außeruniversitärer Einrichtungen erreichen. Teilnehmer, die die Frage „Kommen Sie beruflich mit dem Thema Fledermäuse und Windkraft in Kontakt?“ verneinten, wurden anhand ihrer Angaben zur ehrenamtlichen Tätigkeit im Fledermausschutz überprüft und der Gruppe „NGO & Ehrenamt“ zugeordnet.
Alle Fachexperten erhielten die gleichen Fragen, die in drei Blöcke unterteilt waren. In der vorliegenden Arbeit fassen wir die Ergebnisse des Blocks „Fledermausgutachten und Genehmigungsverfahren“ zusammen (s. die in Tab. 1 aufgeführten Fragen).
3 Ergebnisse und Diskussion
3.1 Rücklauf und Verteilung über geografische Regionen und Interessensgruppen
Insgesamt wurden 168 Fragebögen vollständig beantwortet. Nach Überprüfung der Validität der Umfrageteilnehmer musste ein ausgefüllter Fragebogen aussortiert werden, da er keiner der o. g. Gruppen zugeordnet werden konnte. Unter der konservativen Annahme, dass lediglich ein Teil der von uns angeschriebenen Adressaten an der Umfrage teilnahm, betrug die Rücklaufrate 17 %. Zwar gehen wir davon aus, dass einige der Adressaten unserer Bitte nachkamen und die Umfrage an weitere Teilnehmer verschickten, allerdings konnten wir dies aufgrund der Anonymisierung nicht nachverfolgen.
Den größten Rücklauf erhielten wir aus Nordrhein-Westfalen (14,1 % aller Antworten), gefolgt von Hessen (11,2 %) und Baden-Württemberg (10,7 %; s. Tab. A1 im Online-Supplement unter www.nul-online.de , Webcode 2231). Am stärksten beteiligte sich Behördenvertreter (47 % aller Antworten), gefolgt von Gutachtern (34 %). 9 % aller Antworten entfielen auf die Gruppe NGO & Ehrenamt und 6 % auf die Windkraftvertreter. Die wenigsten Beantwortungen lieferten Wissenschaftler (4 %).
3.2 Praxis der Genehmigungsverfahren
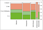
Abschaltzeiten stellen aufgrund ihrer Wirksamkeit eine allgemein akzeptierte Maßnahme dar, um das Tötungsrisiko für Fledermäuse an WEA zu senken (Arnettet al. 2011,Biehlet al. 2017,Lindemannet al. 2018). Mit unserer ersten Frage baten wir um eine Schätzung des relativen Anteils an Gutachten, die Abschaltzeiten empfehlen (Frage 1, Tab. 1). Die Antworten der Gutachter, Behördenvertreter und Windkraftvertreter zeichneten ein heterogenes Bild. Die Hälfte der Windkraftvertreter gab an, dass zwischen 75 % und 100 % aller Gutachten Abschaltzeiten für den Betrieb von WEA empfehlen. Zu einer ähnlichen Einschätzung kamen lediglich 15 % der Behördenvertreter und 7 % der Gutachter. Insgesamt gab etwa die Hälfte der beiden letztgenannten Gruppen an, dass weit weniger als 50 % der Gutachten diese Maßnahme empfehlen (Abb. 2a).
Die zweite Frage thematisierte die Realisierung von Abschaltzeiten in der Praxis. Konkret fragten wir, wie hoch der Anteil der Genehmigungen ist, die Abschaltzeiten beauflagen . Behördenvertreter und Windkraftvertreter schätzten diesen Anteil im Vergleich zu den Gutachtern tendenziell höher ein (Abb. 2b). Damit lässt sich feststellen, dass die Behörden tendenziell mehr beauflagen, als die Gutachter fordern. Folgt man der Publikation vonGebhardund Kollegen (2016), in der die Qualität der Gutachten als heterogen eingeschätzt wird, wäre eine plausible Erklärung für unser Ergebnis, dass Behörden bei qualitativ schlechten Gutachten korrigierend eingreifen müssen, weil sie den Schlussfolgerungen der Gutachter nicht folgen. Die Gründe hierfür können vielfältig sein und reichen von mangelhafter Qualifizierung bzw. fehlender Zertifizierung/Akkreditierung der Gutachter bis hin zu finanziellen Aspekten wie qualitätsmindernde Kostensenkungen („Preisdumping“) seitens der Gutachter (Gebhardet al. 2016). In der Tagespresse ist des Öfteren sogar von Bagatellisierungen der Artenschutzbelange in den Gutachten die Rede, bei denen vereinzelt Gutachter unter Verdacht stehen, in sogenannten Gefälligkeitsgutachten das tatsächliche Gefährdungspotenzial im Sinne des Auftraggebers herunterzuspielen (vgl.Bahn2016,Dietel2017,Nabu2017,Wasmund2014).
In zwei weiteren Fragen thematisierten wir das betriebsbegleitende Monitoring (Tab. 1). Konkret fragten wir, wie hoch der relative Anteil von Gutachten ist, die ein Monitoring empfehlen (Frage 3) und wie hoch der Anteil von Genehmigungsbescheiden ist, die ein Monitoring beauflagen (Frage 4). Wie schon bei den ersten beiden Fragen gaben auch hier die Hälfte der Vertreter der Windenergiebranche an, dass 75 bis 100 % der Gutachten ein Monitoring fordern, das später auch in einem ähnlich hohen Anteil der Genehmigungsbescheide beauflagt wird (s. Abb. A2a und b im Online-Supplement unter www.nul-online.de , Webcode 2231). Die Einschätzung der Behördenvertreter und der Gutachter unterschied sich von derjenigen der Vertreter der Windenergiebranche. In der Summe scheinen die Behörden das Monitoring jedoch weniger häufig zu beauflagen, als es die Fachgutachter fordern. Der Grund hierfür liegt in der geänderten Rechtslage. Vor einigen Jahren noch wurde ein Monitoring beauflagt, um später per Auflagenvorbehalt Abschaltzeiten festzulegen, falls im Ergebnis erhöhte Aktivitäten von Fledermäusen festgestellt werden, die im Gutachten vorab methodisch nicht hinreichend erfasst werden konnten. Nach derzeit gültigem Recht hingegen ist es nicht mehr gestattet, Erfassungsdefizite aus vorangegangen Gutachten mittels Monitoring als Auflage zu kompensieren. Es müssen hinreichend gesicherte Erkenntnisse aus der Erfassung der Fledermäuse am Standort existieren („hinreichender Anfangsverdacht“), um eine Abschaltung in Verbindung mit Monitoring als Auflage zu begründen (OVG-Magdeburg 2013). Folglich besteht das Dilemma in der Genehmigungspraxis, dass eine Tötungsrisikoabschätzung vor dem Bau der WEA nur bedingt möglich ist, da Erfassungen meist auf Bodenniveau erfolgen und nicht zwangsläufig die Fledermaus-Aktivitäten in Gondelhöhe widerspiegeln (Lintottet al. 2016,Mülleret al. 2013), andererseits jedoch der Anfangsverdacht hinreichend mit Daten belegt werden muss, um ein Gondel-Monitoring (in Verbindung mit Abschaltzeiten) rechtfertigen zu können.
Ein relativ neuer Ansatz lautet deshalb: „Umkehr der Beweislast“ – ein Verfahren, bei dem ein Anfangsverdacht für das Vorkommen von kollisionsgefährdeten Fledermäusen immer besteht und damit bestimmte Abschaltzeiten pauschal nach dem Vorsorgeprinzip erforderlich sind. Wenn der WEA-Investor oder -Betreiber diese Abschaltzeiten reduzieren will, muss er mittels Gutachten nachweisen, dass am Standort der WEA nur eine geringe Fledermausaktivität besteht. Dieses Verfahren wurde in der „Arbeitshilfe zur Berücksichtigung des Fledermausschutzes bei der Genehmigung von Windenergieanlagen in Thüringen“ (Dietzet al. 2015) erstmals umgesetzt. Einige Behörden außerhalb Thüringens wenden diesen Ansatz auch so an, dass der Investor per Selbstverpflichtung Abschaltzeiten beantragt (wodurch er im Gegenzug Voruntersuchungen einspart) und durch nachfolgendes Monitoring die Möglichkeit eingeräumt wird, die Abschaltzeiten zu reduzieren (mündliche Mitteilungen von Behördenvertretern aus Mecklenburg-Vorpommern und Sachsen-Anhalt). Eine solche betriebsbegleitende Anpassung von Abschaltzeiten wird auch als „adaptives Management“ bezeichnet und als Möglichkeit gesehen, den Windenergieausbau unter gleichzeitiger Berücksichtigung von Naturschutzbelangen zu beschleunigen (Biehlet al. 2017,Bulling&Köppel2017,Köppelet al. 2014).
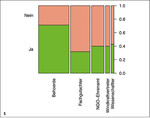
In unserer Umfrage stellten wir deshalb die Frage: „Halten Sie bundesweit einheitlich geltende Abschaltzeiten für WEA (z. B. während der Migrationsphasen) für sinnvoll?“ (Frage 12). Hierbei stimmte die Mehrheit der Behördenvertreter mit „Ja“ bzw. „Ja, unter bestimmten Bedingungen“ (s. Abb. 3 und Tab. 2 für die Aufzählung der genannten Bedingungen). Dieser Meinung waren auch mehr als die Hälfte der NGO-Vertreter und Ehrenamtliche sowie ca. 50 % der Gutachter, während die Mehrheit der Windkraftvertreter mit „Nein“ antwortete. Als Bedingung für eine Befürwortung wurde am häufigsten angegeben, dass die regionale bzw. standortspezifische Eigenheit des WEA-Standortes berücksichtigt bleiben soll (Tab. 2), sodass die Möglichkeit besteht, Abschaltzeiten und Untersuchungen anzupassen. In Anbetracht der kürzlich vom Bundesamt für Naturschutz veröffentlichten Studie ist eine solche Regelung auch sinnvoll, da sich die besonders kollisionsgefährdeten, saisonal ziehenden Fledermäuse in einem Breitfrontzug durch Deutschland zu bewegen scheinen (Meschedeet al. 2017). Dadurch ist zumindest für den saisonalen Fledermauszug jedes Windkraftprojektgebiet betroffen bzw. besteht zumindest zur Migrationszeit stets der Anfangsverdacht (Abb. 1). Die besondere Gefährdung der migrierenden Fledermausarten ist auch aus anderen Studien hinreichend bekannt (Lehnertet al. 2014,Voigtet al. 2012, 2016).
In Frage 5 unserer Umfrage baten wir um eine Einschätzung, in welchen Zeiträumen ein Monitoring für sinnvoll erachtet wird, um Abschaltzeiten anzupassen bzw. festzulegen . Ein Großteil der Teilnehmer befürwortete eine Anpassung in regelmäßigen Abständen (Abb. A3 im Online-Supplement unter www.nul-online.de , Webcode 2231), drei Teilnehmer schlugen eine permanente Anpassung vor. Ein weiterer großer Teil der Teilnehmer (ca. 50 %) gab an, dass die Anpassung nach ein bis drei Jahren sinnvoll sei, was gängiger Praxis entspricht (Biehlet al. 2017).
Mit Frage 6 erkundigten wir uns nach dem relativen Anteil von Genehmigungsverfahren, bei denen ein Monitoring zu Abschaltzeiten führte . Nach heutiger Rechtsprechung ist dies nur noch im Falle eines „Repowerings“ (Ersetzen alter WEA durch neue) möglich, da hier schon während der Voruntersuchung ein Gondel-Monitoring an den Alt-WEA durchgeführt werden kann (s. o.). Während die Mehrheit der Windkraftvertreter schätzt, dass ein Monitoring in mehr als 75 % der Fälle zu Abschaltzeiten führt, meinte die Mehrheit der Behörden und Gutachter, der Prozentsatz sei wesentlich geringer. Mehr als 20 % dieser beiden letztgenannten Gruppen schätzten sogar, dass dies weniger als 5 % der Fälle betrifft (Abb. A4 im Online-Supplement unter www.nul-online.de , Webcode 2231).
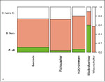
In Frage 7 erkundigten wir uns, wie hoch der geschätzte relative Anteil von WEA ist, für die letztendlich Abschaltzeiten gelten . Der größte Anteil der Umfrageteilnehmer (40–50 %) schätzt, dass weit weniger als 25 % der in Deutschland gebauten WEA mit Abschaltzeiten laufen, während knapp ein Drittel der Windenergievertreter meint, dieser Anteil betrage mehr als 75 % (Abb. 4).
Mit den Fragen 8 und 9 erkundigten wir uns, ob die Umfrageteilnehmer wissen, wo sie Informationen bezüglich der Anzahl der WEA, die in ihrem Umfeld unter Auflagen betrieben werden, finden können . Den Antworten folgend kennt ein Großteil keine solche Ansprechstelle (Abb. 5). Diejenigen Umfrageteilnehmer, die wussten, wo sie Informationen bekommen, gaben diverse Ansprechstellen an, die vermutlich zwischen den Bundesländern variieren.
Die Mehrheit der befragten Behördenvertreter und Gutachter und ein Drittel der Windkraftvertreter gab bei Frage 10 an, dass die Einhaltung der Auflagen nicht regelmäßig überprüft wird, während weniger als 10 % der erstgenannten Interessengruppen und gut 60 % der Vertreter der Windenergiebranche meinten, solche Überprüfungen würden tatsächlich durchgeführt (Abb. 6). Aus den Antworten geht hervor, dass ein Großteil der WEA hinsichtlich der Einhaltung von Auflagen nicht kontrolliert wird.
In Frage 11 erkundigten wir uns, wie hoch der relative Anteil der Genehmigungsverfahren geschätzt wird, bei denen es nach der Beauflagung von Abschaltzeiten zu einem Rechtsstreit kam . Während ca. 30 % der Umfrageteilnehmer angaben, dieser Anteil sei gering (< 5 %), schätzten ihn etwa 40 % höher ein (Abb. 7a).
Nach Auswertung der Beantwortung getrennt nach Bundesländern wird deutlich, dass es hinsichtlich der Anzahl der Rechtstreite regionale Unterschiede zu geben scheint (Abb. 7b). Dies könnte mit der Verteilung der WEA-Genehmigungsverfahren zusammenhängen, da der WEA-Ausbau in den Bundesländern nicht gleich verteilt ist. In Anbetracht der hohen Anzahl an Genehmigungsverfahren legen die geschätzten Prozentzahlen eine hohe absolute Anzahl an Rechtstreiten nahe. Dieses Ergebnis zeigt einen hohen Bedarf an juristischer Aufarbeitung des Themas Rechtssicherheit von WEA-Genehmigungsauflagen auf.
3.3 Wie viele Fledermäuse sterben pro Jahr in Deutschland durch WEA?
Die erhobenen Daten bieten eine theoretische Grundlage, um die Zahl der getöteten Fledermäuse unter Berücksichtigung der geschätzten Häufigkeit von Abschaltauflagen abzuschätzen. Diese Überlegungen unterliegen einer hohen Fehlerrate, da es vermutlich regional große Schwankungen in den tatsächlichen Schlagopferzahlen gibt.
- NachRydellund Kollegen beträgt die durchschnittliche Schlagopferzahl in Deutschland 5,7 Individuen pro WEA und Jahr (Rydellet al. 2012).
- Die staatliche Vogelschutzwarte Brandenburg, die eine Datenbank für Kollisionsopfer an WEA unterhält, errechnete für ihr Bundesland eine durchschnittliche Schlagopferzahl von 24,5 Fledermäusen pro WEA und Jahr (Dürr2015).
- Brinkmannund Kollegen gehen bundesweit durchschnittlich von etwa 10–12 toten Fledermäusen pro WEA und Jahr aus, sofern keine Abschaltung beauflagt wurde (Brinkmannet al. 2011).
Da der letztgenannte Wert zwischen den Maximal- und Minimalwerten liegt, ziehen wir die Zahl 10 in unseren Überlegungen ohne Abschaltzeiten heran und die Zahl 2 für WEA mit Abschaltauflagen (Behret al. 2016). Sofern man davon ausgeht, dass bundesweit weniger als 25 % der WEA unter Auflagen betrieben werden, wie es von der Mehrheit der Umfrageteilnehmer geschätzt wurde, ergäbe sich bei einer aktuellen Anzahl von etwa 30 000 WEA in Deutschland (Rohrig2018) jährlich eine absolute Schlagopferzahl von mindestens 240 000 toten Fledermäusen. Wenn alle aktuell betriebenen WEA unter standardmäßigen Abschaltauflagen laufen würden, würde der Schätzwert 60 000 betragen.
Zu einer Unterschätzung der tatsächlichen Kadaverzahl führt möglicherweise der Umstand, dass Fledermausschlagopfer in keiner Statistik aufgeführt werden, wenn sie sich an WEA nur ein leichtes Barotrauma zuziehen (Baerwaldet al. 2008), an dem sie erst später verenden. Es ist dringend zu diskutieren, wie man mit jährlichen Schlagopferzahlen in dieser Größenordnung umgehen soll. Auf eine ethische Bewertung von Zehntausenden oder gar Hunderttausenden Schlagopfern sei an dieser Stelle verzichtet. Aus artenschutzfachlicher Sicht sind aufgrund der kumulativen Schlagopferzahl der letzten Dekade, die im Bereich der Millionen liegen könnte, bereits Populationseffekte denkbar (Lindemannet al. 2018).
3.4 Die Rolle von Leitfäden in der Genehmigungspraxis
Eine Evaluierung nach Bundesländern hat ergeben, dass die o. g. Heterogenität in den Aussagen bezüglich der Forderungen nach Fledermausschutzmaßnahmen in den Gutachten und deren Umsetzung in den Genehmigungsauflagen bundesweit vorhanden ist (Abb. A1 im Online-Supplement unter www.nul-online.de , Webcode 2231). Dies ist zum einen darauf zurückzuführen, dass erhebliche Unterschiede in den Leitfäden der einzelnen Bundesländer existieren, die die Fachexperten für ihre Arbeit nutzen (Hurstet al. 2015). Mehr als 80 % der Behörden und Gutachter gaben an, dass sie einen in ihrem Bundesland existierenden Leitfaden nutzen, ungefähr 20 % machten keine Angabe dazu; vermutlich weil in ihren Bundesländern gar kein gültiger Leitfaden existiert (vgl. Frage 14, Abb. 8; Frage 13, Abb. A5 im Online-Supplement unter www.nul-online.de , Webcode 2231).
Hinsichtlich der fachlichen Qualität und Vollständigkeit der Inhalte solcher Leitfäden gibt es unterschiedliche Auffassungen, die vermutlich auf die unterschiedliche Aktualität der Leitfäden zurückzuführen sind (Frage 15, Abb. 9). Immerhin gaben die meisten Umfrageteilnehmer an, die Leitfäden beinhalteten sowohl Empfehlungen zum Untersuchungsumfang als auch zu Methoden für die Erfassung von Fledermäusen (Frage 16, Abb. A6 im Online-Supplement unter www.nul-online.de , Webcode 2231). In Frage 18 wird jedoch deutlich, dass aus Sicht der Behörden und Gutachter der empfohlene Untersuchungsumfang in den Leitfäden den tatsächlichen Untersuchungsbedarf bei Windkraftvorhaben nicht genügend abdeckt, denn nur knapp 40 % der Umfrageteilnehmer geben den Leitfäden diesbezüglich die Schulnoten 1 und 2 (Abb. 10). Einen Mangel scheint es auch hinsichtlich der Empfehlungen zur Auswertung der Untersuchungsergebnisse zu geben (Frage 17), denn weniger als die Hälfte der Umfrageteilnehmer gab an, es gebe solche Hinweise in den Leitfäden (Abb. A7 im Online-Supplement unter www.nul-online.de , Webcode 2231). Daraus resultieren erhebliche qualitative Unterschiede in den Interpretationen und Bewertungen von Untersuchungsergebnissen und folglich von Einschätzungen zum Gefährdungspotenzial von WEA.
Zusammenfassend ist festzustellen, dass offenbar einzig den Naturschutzbehörden als letzte Kontrollinstanz die Prüfung der Gutachten hinsichtlich methodischer Vollständigkeit, adäquater Ergebnisinterpretation und daraus abgeleiteter Risikoeinschätzung obliegt. Die sogenannte naturschutzfachliche Einschätzungsprärogative der Genehmigungsbehörde muss somit das Fehlen fachlicher Standards kompensieren (Gellermann2014,Lukas2016).
Dank
Wir danken den zahlreichen Umfrageteilnehmern für die Beantwortung der umfangreichen Fragebögen sowie Fachexperten für die hilfreichen und anregenden Gespräche.
Literatur
Arnett, E.B., Baerwald, E.F., Mathews, F., Rodrigues, L., Rodríguez-Durán, A., Rydell, J., Villegas-Patraca, R., Voigt, C.C.(2016): Impacts of Wind Energy Development on Bats: A Global Perspective. In: Voigt, C.C. &Kingston, T. (Eds.): Bats in the Anthropocene: Conservation of Bats in a Changing World, Springer International Publishing, 295-323.
–, Huso, M.M.P., Schirmacher, M.R., Hayes, J.P.(2011): Altering turbine speed reduces bat mortality at wind-energy facilities. Frontiers in Ecology and the Environment 9, 209-214.
Baerwald, E.F., D‘Amours, G.H., Klug, B.J., Barclay, R.M.(2008): Barotrauma is a significant cause of bat fatalities at wind turbines. Curr. Biol. 18: R695-696.
Bahn, W.(2016): Windpark „An den Bärenlöchern“: Verwaltungsgericht weist Klage eines Investors ab. Mitteldeutsche Zeitung vom 25.10.2016, Halle.
Behr, O., Brinkmann, R., Korner-Nievergelt, F., Nagy, M., Niermann, I., Reich, M., Simon, R.(2016): Reduktion des Kollisionsrisikos von Fledermäusen an Onshore-Windenergieanlagen (RENEBAT II). Umwelt und Raum, n. 7, Hannover: Institut für Umweltplanung.
Biehl, J., Bulling, L., Gartman, V., Weber, J., Dahmen, M., Geißler, G., Köppel, J.(2017): Vermeidungsmaßnahmen bei Planung, Bau und Betrieb von Windenergieanlagen. Naturschutz und Landschaftsplanung 49 (2), 63-72.
Brinkmann, R., Behr, O., Niermann, I., Reich, M.(2011): Entwicklung von Methoden zur Untersuchung und Reduktion des Kollisionsrisikos von Fledermäusen an Onshore-Windenergieanlagen. Umwelt und Raum Göttingen: Cuvillier Verlag, 457 S.
Bulling, L., Köppel, J.(2017): „Adaptive Management“ in der Windenergieplanung – Eine Chance für den Artenschutz in Deutschland? Naturschutz und Landschaftsplanung 49 (2), 073-079.
BWE(2016): Anzahl der Windenergieanlagen in Deutschland [Online]. Bundesverband WindEnergie e.V. ( https://www.wind-energie.de/infocenter/statistiken/deutschland/windenergie anlagen-deutschland [Zugriff 22.11.2017 2017])
Dietel, B.(2017): Windkraft: Zweites Gutachten sieht sehr hohes Konfliktpotenzial durch die geplanten vier Anlagen in Lorch. Wiesbadener Kurier vom 17.01.2017, Mainz: VRM GmbH & Co. KG.
Dietz, M., Krannich, E., Weitzel, M.(2015): Arbeitshilfe zur Berücksichtigung des Fledermausschutzes bei der Genehmigung von Windenergieanlagen (WEA) in Thüringen. Seebach: Thüringer Landesanstalt für Umwelt und Geologie im Auftrag des Thüringer Ministeriums für Umwelt, Energie und Naturschutz, 121 S.
Dürr, T.(2015): Zentrale Fundkartei über Anflugopfer an Windenergieanlagen (WEA). Landesamt für Umwelt Abteilung Naturschutz – Staatliche Vogelschutzwarte. ( www.lugv.brandenburg.de/cms/detail.php/bb1.c.321381.de [Zugriff 22.11.2017 2017])
FAWind (2016): Nachträgliche Anpassung immissionsschutzrechtlicher Genehmigungen aufgrund artenschutzrechtlicher Belange. Berlin: FA Wind.
Gebhard, F., Kötteritzsch, A., Lüttmann, J., Kiefer, A., Hendler, R., Veith, M.(2016): Fördern Arbeitshilfen die Qualität von Fachgutachten? Naturschutz und Landschaftsplanung 48 (6), 177-183.
Gellermann, M.(2014): Zugriffsverbote des Artenschutzrechts und behördliche Einschätzungsprärogative. Natur und Recht 36, 597-605.
Hurst J., Balzer, S., Biedermann, M., Dietz, C., Dietz, M., Höhne, E., Karst, I., Petermann, R., Schorcht, W., Steck, C., Brinkmann, R.(2015): Erfassungsstandards für Fledermäuse bei Windkraftprojekten in Wäldern. Natur und Landschaft 90, 157-169.
Köppel, J., Dahmen, M., Helfrich, J., Schuster, E., Bulling, L.(2014): Cautious but committed: moving toward adaptive planning and operation strategies for renewable energy‘s wildlife implications. Environ. Manage. 54, 744-755.
Lehnert, L.S., Kramer-Schadt, S., Schönborn, S., Lindecke, O., Niermann, I., Voigt, C.C.(2014): Wind farm facilities in Germany kill noctule bats from near and far. PLoS One 9, e103106.
Lindemann, V.C., Runkel, V., Kiefer, A., Lukas, A.(2018): Abschaltalgorithmen für Fledermäuse an Windenergieanlagen. Naturschutz und Landschaftsplanung 50 (11), 418–425.
Lintott, P.R., Richardson, S.M., Hosken, D.J., Fensome, S.A., Mathews, F.(2016): Ecological impact assessments fail to reduce risk of bat casualties at wind farms. Curr. Biol. 26, R1135-R1136.
Lukas, A.(2016): Vögel und Fledermäuse im Artenschutzrecht. Naturschutz und Landschaftsplanung 48 (9), 289-295.
Meschede, A., Schorcht, W., Karst, I., Biedermann, M., Fuchs, D., Bontadina, F.(2017): Wanderrouten der Fledermäuse. BfN-Skripten 453, BfN, 237 S.
Müller, J., Brandl, R., Buchner, J., Pretzsch, H., Seifert, S., Strätz, C., Veith, M., Fenton, B.(2013): From ground to above canopy-Bat activity in mature forests is driven by vegetation density and height. For. Ecol. Manage. 306, 179–184.
NABU, Kreisverband Schaumburg (2017): „Energiewende muss verträglich gestaltet werden“. Focus, München: FOCUS Magazin Verlag GmbH.
O’Shea, T.J., Cryan, P.M., Hayman, D.T.S., Plowright, R.K., Streicker, D.G.(2016): Multiple mortality events in bats: a global review. Mammal Review 46, 175-190.
OVG-Magdeburg (2013): Artenschutzrechtliches Tötungsverbot: Keine Umkehr der Beweislast bei Anfangsverdacht. ZNER 3, 328-331.
Rohrig, K.(2018): Windenergie Report Deutschland 2017. (Hrsg. Durstewitz, M., Behem, G., Berkhout, V., Buchmann, E., Cernusko, R., Faulstich, S., Hahn, B., Lutz, M.-A., Pfaffel, S., Rehwald, F., et al.) Kassel: Fraunhofer Verlag.
Rydell, J., Engström, H., Hedenström, A., Larsen, J.K., Pettersson, J., Green, M.(2012): The effect of wind power on birds and bats – A synthesis report. n. 6511, Stockholm: Swedish Environmental Protection Agency.
Voigt, C.C., Lindecke, O., Schönborn, S., Kramer-Schadt, S., Lehmann, D. (2016);Habitat use of migratory bats killed during autumn at wind turbines. Ecol. Appl. 26, 771-783.
Voigt, C.C., Popa-Lisseanu, A.G., Niermann, I., Kramer-Schadt, S.(2012): The catchment area of wind farms for European bats: A plea for international regulations. Biological Conservation 153, 80-86.
Wasmund, N.(2014): Gefälligkeitsgutachten für Windkraft? SHZ vom 20.11.2014, Flensburg: Schleswig-Holsteinischer Zeitungsverlag GmbH & Co. KG.
Fazit für die Praxis
Kontakt
Marcus Fritze arbeitete nach dem Studium an der TU Berlin und der Ernst-Moritz-Arndt-Universität Greifswald in einer Unteren Naturschutzbehörde, v. a. im Bereich Genehmigungsverfahren für Windkraftbauvorhaben. Seit 2015 als Doktorand am Leibniz-Institut für Zoo- und Wildtierforschung in Berlin mit Naturschutz- und Grundlagenforschung beschäftigt. Darüber hinaus ehrenamtliches Engagement in verschiedenen Gremien.
Linn S. Lehnert ist Wildtierbiologin und forscht zur Ökologie von Fledermäusen und marinen Säugern. Nach dem Studium Arbeiten zur Habitatnutzung und Abundanz von Walen in der Antarktis sowie der Nord- und Ostsee an der Universität Kiel und der Tierärztlichen Hochschule Hannover. Seit 2013 am Leibniz-Institut für Zoo- und Wildtierforschung tätig, wo sie sich im Rahmen Ihrer Doktorarbeit intensiv mit dem Wanderverhalten von Fledermäusen und dem Spannungsfeld zwischen Windkraft und Fledermäusen beschäftigt hat.
Dr. Olga Heim ist Wildtierbiologin und untersucht die Ökologie von Fledermäusen in Agrarlandschaften. Nach dem Studium an der Universität Ulm arbeitete sie von 2012 bis 2017 am Leibniz-Institut für Zoo- und Wildtierforschung in Berlin und promovierte an der Universität Potsdam zur Ökologie von Fledermäusen in intensiv bewirtschafteten Landschaften. Anschließend verbrachte sie Forschungsaufenthalte an der Yunnan-Universität in China, an der Universität Tokyo in Japan und an der Universität Turku in Finnland.
Oliver Lindecke, Leibniz-Institut für Zoo- und Wildtierforschung, Berlin
Manuel Röleke, Leibniz-Institut für Zoo- und Wildtierforschung, Berlin
PD Dr. Christian C. Voigt ,Leiter der Abteilung Evolutionäre Ökologie am Leibniz-Institut für Zoo- und Wildtierforschung, Berlin
Barrierefreiheits-Menü
Schriftgröße
Kontrast
Menü sichtbar
Einstellungen
100 Euro Rabatt auf Ihr Stellenangebot
Als Abonnent:in von Naturschutz und Landschaftsplanung erhalten Sie pro Kalenderjahr 100 Euro Rabatt auf Ihr Stellenangebot im Grünen Stellenmarkt.
mehr erfahrenNoch kein Abo? Jetzt abonnieren und Rabatt für 2025 sichern.
zum Naturschutz und Landschaftsplanung-Abo





















Zu diesem Artikel liegen noch keine Kommentare vor.
Artikel kommentierenSchreiben Sie den ersten Kommentar.