Stehen bewirtschaftete Honigbienen und einheimische Wildbienen in Konkurrenz um Ressourcen?
Abstracts
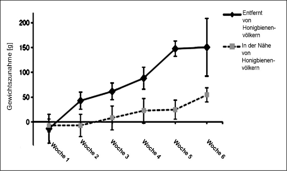
Der Rückgang der Wildbienenpopulationen in Mitteleuropa wird durch Faktoren wie Lebensraumfragmentierung und intensivierte Landwirtschaft ausgelöst. Eine Nahrungskonkurrenz zwischen der Westlichen Honigbiene (Apis mellifera, im Folgenden als Honigbiene bezeichnet) und Wildbienen kann diese Situation weiter verschärfen, wenn gemeinsam genutzte Blütenressourcen nicht ausreichend vorhanden sind. Die meisten der hier untersuchten Studien deuten auf negative Effekte von Honigbienen auf solitäre oder staatenbildende Wildbienen hin. Dennoch bedeutet der Konkurrenzdruck nicht zwingend einen Fitnessverlust für Wildbienen, da diese zum Teil auf andere Blütenressourcen ausweichen können. Problematisch wird es, wenn dies nicht möglich ist, beispielsweise wenn die Ersatzblütenquellen weniger geeignet oder zu weit von den Nisthabitaten entfernt sind.
Das ursprüngliche Verbreitungsgebiet von Apis mellifera spielt eine wichtige Rolle für die Konkurrenzsituation. In Gebieten, in denen die Art jenseits ihres ursprünglichen Verbreitungsgebietes eingeführt wurde, aber auch dort, wo sehr hohe Dichten an Honigbienen aufgestellt wurden, sind klare negative Effekte auf heimische Wildbienen erkannt worden. In Mitteleuropa gibt es in Naturlandschaften, meist Schutzgebieten, eher die Tendenz zu negativen Auswirkungen von Honigbienen auf Wildbienen als in Kulturlandschaften. Speziell in Naturgebieten wird dieser Konkurrenzdruck nachweisbar.
Do managed honey bees and native wild bees compete for resources?
A global literature search
The decline of wild bee populations in Central Europe has been triggered by many different factors, such as habitat fragmentations and intensified agriculture. Foraging competition between wild bees and western honey bee colonies (Apis mellifera; in the following referred to as honey bee) may further exacerbate this situation. This is especially true in areas and seasons where shared floral resources are limited. Most of the studies reviewed here indicate negative effects by honey bees on solitary or colony-forming wild bees. Nevertheless, competitive pressure does not necessarily mean a loss of fitness for wild bees as they can partly switch to other flower resources. However, if the substitutes are less suitable or too far away from nesting habitats, negative effects are measurable.
The original range of Apis mellifera plays a crucial role in the competitive situation. Where the species has been introduced beyond its natural range, or high densities of bee hives have been installed, clear negative impacts on native wild bees have been recognized. In Central Europe, there is a tendency for stronger negative effects of competition in natural landscapes than in cultivated landscapes. If there are enough species-rich floral offerings and enough suitable nesting habitats for wild bee populations, there is little detectable competition in the latter. In natural areas, where the natural density of pollinators has already reached saturation level, this competitive pressure is detectable. However, the number of Apis colonies, their spatial distribution, as well as their seasonal presence, play a major part in the negative competitive influences on wild bee abundance.
- Veröffentlicht am

Naturschutz und Landschaftsplanung Digital Mini-Abo
- Jede Ausgabe 3 Tage vor der gedruckten Ausgabe lesen
- Zugriff auf alle Ausgaben im Archiv
- Alle Heftartikel auch online lesen
Barrierefreiheits-Menü
Schriftgröße
Kontrast
Menü sichtbar
Einstellungen
100 Euro Rabatt auf Ihr Stellenangebot
Als Abonnent:in von Naturschutz und Landschaftsplanung erhalten Sie pro Kalenderjahr 100 Euro Rabatt auf Ihr Stellenangebot im Grünen Stellenmarkt.
mehr erfahrenNoch kein Abo? Jetzt abonnieren und Rabatt für 2025 sichern.
zum Naturschutz und Landschaftsplanung-Abo


